5試験評価技術 / 構造・機能評価
T-26
2024

サブナノ~ミクロンオーダーの細孔径分布測定と機能性評価

技術のポイント
液体、気体透過に関わる貫通孔の機能性を特徴づけるネック部の細孔径分布とガス透過率を評価
保有技術/技術
細孔径分布評価
ナノパームポロメーター

・手法 : 毛管凝縮法
・細孔径 : 0.5~12 nm(水蒸気)
・形状 : チューブ、板
パームポロメーター

・手法 :バブルポイント法、
ハーフドライ法
・細孔径:0.015~300 µm
(Galwick、H2O等)
・形状 :チューブ、板
機能性評価
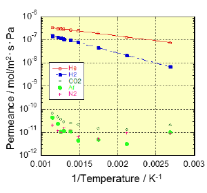
ガス透過率測定装置

・手法 :ガス透過法(減圧、加圧)
・細孔径:0.26~0.55 nm
(He、H2、CO2、Ar、N2、SF6 )
・温度 :室温~(150 ℃)~600 ℃
・形状 :チューブ、板
活用/成果例
多孔質材料の耐久性・膜のガス分離特性評価

測定例 水蒸気暴露後のNi添加
γアルミナ膜の細孔径変化1)
γアルミナ膜の細孔径変化1)


1) T. Nagano et al., J. Ceram. Soc. Jpn., 117 (7) 832-835 (2009)
2) T. Nagano et al., J. Am. Ceram. Soc. 91 (1) 71-76 (2008)
適用分野
・分離膜、フィルター開発:ガス透過、分離特性評価
・新規機能性材料開発 :細孔径分布
