| 2013-18 |
|
|
|
|
|
|||
![]() |
![]() |
![]() |
|||
|
|
|
|
![]() |
![]() |
![]() |
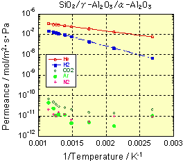
![]() ・フィルター、分離膜のガス透過・ガス分離特性評価 ・ハニカム・触媒担体の比表面積・細孔径分布評価 ・多孔質材料の耐熱耐水蒸気性評価 |
2013年度

| 2013-18 |
|
|
|
|
|
|||
![]() |
![]() |
![]() |
|||
|
|
|
|
![]() |
![]() |
![]() |
![]() ・フィルター、分離膜のガス透過・ガス分離特性評価 ・ハニカム・触媒担体の比表面積・細孔径分布評価 ・多孔質材料の耐熱耐水蒸気性評価 |