| T-21 2017 |
|
|
|
|
|
|||||||||||||||||||||||||||||||||
![]() |
![]() |
![]() |
|||||||||||||||||||||||||||||||||
|
|
|
|||||||||||||||||||||||||||||||||
| 直接評価 | 直接評価 | 間接評価 |
| 多孔質材料の耐久性・膜のガス分離特性評価 | |
![]() |
![]() |
| 測定例 水蒸気暴露後のNi添加 γアルミナ膜の細孔径変化 | 測定例 アルミナ多孔質基材の細孔径 |
| T. Nagano et. al., J. Ceram. Soc. Jpn., 117 (7) 832-835 (2009) | |
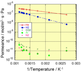
![]() |
| 測定例 シリカ膜のガス分離特性 |
| T. Nagano et. al., J. Am. Ceram. Soc. 91 (1) 71-76 (2008) |
| ・ 分離膜, フィルターの開発 : ガス透過・分離特性評価 ・ 新規機能性材料の開発 : 比表面積・細孔径分布 |






